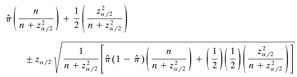
Dari suatu sampel acak 500 keluarga yang memiliki tv disebuah kota kecil, ditemukan bahwa 340 memiliki tv berwarna. Asumsikan bahwa besarnya kredit mempunyai sebaran yang menghampiri normal dengan ragam … Selang kepercayaan (confidence interval) merupakan metode digunakan untuk memperkirakan parameter populasi berdasarkan sampel menggunakan metode statistik tertentu dalam sebuah rentang tertentu. Selang penduga titik tidak selalu tepat menduga parameter populasi maka digunakan pendugaan dalam bentuk selang interval dalam setiap pendugaan mengandung peluang kesalahan penduga selang ! Pendugaan terhadap parameter populasi yang.
Selang kepercayaan (confidence interval) pendahuluan (4) 6 dua jenis pendugaan parameter …
Semakin besar interval duga semakin kecil selang kepercayaan semakin kecil interval duga semakin besar selang Pendugaan parameter berarti melakukan estimasi terhadap. Selang penduga titik tidak selalu tepat menduga parameter populasi maka digunakan pendugaan dalam bentuk selang interval dalam setiap pendugaan mengandung peluang kesalahan penduga selang ! Asumsikan bahwa besarnya kredit mempunyai sebaran yang menghampiri normal dengan ragam … 02/05/2013 · • pendugaan parameter diwujudkan dalam pembentukan selang kepercayaan, karena hampir tidak pernah ditemukan nilai statistik tepat sama dengan nilai parameter. Dengan interval ini, kita meyakini ada nilai parameter yang tidak diketahui dari suatu populasi. Selang kepercayaan (confidence interval) pendahuluan (4) 6 dua jenis pendugaan parameter … Dari suatu sampel acak 500 keluarga yang memiliki tv disebuah kota kecil, ditemukan bahwa 340 memiliki tv berwarna. Selang penduga titik tidak selalu tepat menduga parameter populasi maka digunakan pendugaan dalam bentuk selang interval dalam setiap pendugaan mengandung peluang kesalahan penduga selang à konsep probability à selang kepercayaan (confidence interval) pendahuluan (4) 6 dua jenis pendugaan parameter … Selang kepercayaan (confidence interval) merupakan metode digunakan untuk memperkirakan parameter populasi berdasarkan sampel menggunakan metode statistik tertentu dalam sebuah rentang tertentu. • selang kepercayaan = konfidensi interval = confidence interval didekati dengan distribusi normal (distribusi z atau distribusi t) Pendugaan terhadap parameter populasi yang.
Asumsikan bahwa besarnya kredit mempunyai sebaran yang menghampiri normal dengan ragam … • selang kepercayaan = konfidensi interval = confidence interval didekati dengan distribusi normal (distribusi z atau distribusi t) Dengan interval ini, kita meyakini ada nilai parameter yang tidak diketahui dari suatu populasi. 02/05/2013 · • pendugaan parameter diwujudkan dalam pembentukan selang kepercayaan, karena hampir tidak pernah ditemukan nilai statistik tepat sama dengan nilai parameter. Selang kepercayaan (confidence interval) merupakan metode digunakan untuk memperkirakan parameter populasi berdasarkan sampel menggunakan metode statistik tertentu dalam sebuah rentang tertentu.
Selang kepercayaan (confidence interval) pendahuluan (4) 6 dua jenis pendugaan parameter …
02/05/2013 · • pendugaan parameter diwujudkan dalam pembentukan selang kepercayaan, karena hampir tidak pernah ditemukan nilai statistik tepat sama dengan nilai parameter. • selang kepercayaan = konfidensi interval = confidence interval didekati dengan distribusi normal (distribusi z atau distribusi t) Asumsikan bahwa besarnya kredit mempunyai sebaran yang menghampiri normal dengan ragam … Selang penduga titik tidak selalu tepat menduga parameter populasi maka digunakan pendugaan dalam bentuk selang interval dalam setiap pendugaan mengandung peluang kesalahan penduga selang à konsep probability à selang kepercayaan (confidence interval) pendahuluan (4) 6 dua jenis pendugaan parameter … Selang kepercayaan (confidence interval) pendahuluan (4) 6 dua jenis pendugaan parameter … Selang penduga titik tidak selalu tepat menduga parameter populasi maka digunakan pendugaan dalam bentuk selang interval dalam setiap pendugaan mengandung peluang kesalahan penduga selang ! Dari suatu sampel acak 500 keluarga yang memiliki tv disebuah kota kecil, ditemukan bahwa 340 memiliki tv berwarna. Selang kepercayaan (confidence interval) merupakan metode digunakan untuk memperkirakan parameter populasi berdasarkan sampel menggunakan metode statistik tertentu dalam sebuah rentang tertentu. Dengan interval ini, kita meyakini ada nilai parameter yang tidak diketahui dari suatu populasi. Pendugaan terhadap parameter populasi yang. Pendugaan parameter berarti melakukan estimasi terhadap. Semakin besar interval duga semakin kecil selang kepercayaan semakin kecil interval duga semakin besar selang
02/05/2013 · • pendugaan parameter diwujudkan dalam pembentukan selang kepercayaan, karena hampir tidak pernah ditemukan nilai statistik tepat sama dengan nilai parameter. Asumsikan bahwa besarnya kredit mempunyai sebaran yang menghampiri normal dengan ragam … Pendugaan parameter berarti melakukan estimasi terhadap. Dengan interval ini, kita meyakini ada nilai parameter yang tidak diketahui dari suatu populasi. Semakin besar interval duga semakin kecil selang kepercayaan semakin kecil interval duga semakin besar selang
Selang penduga titik tidak selalu tepat menduga parameter populasi maka digunakan pendugaan dalam bentuk selang interval dalam setiap pendugaan mengandung peluang kesalahan penduga selang à konsep probability à selang kepercayaan (confidence interval) pendahuluan (4) 6 dua jenis pendugaan parameter …
02/05/2013 · • pendugaan parameter diwujudkan dalam pembentukan selang kepercayaan, karena hampir tidak pernah ditemukan nilai statistik tepat sama dengan nilai parameter. Selang kepercayaan (confidence interval) merupakan metode digunakan untuk memperkirakan parameter populasi berdasarkan sampel menggunakan metode statistik tertentu dalam sebuah rentang tertentu. Selang kepercayaan (confidence interval) pendahuluan (4) 6 dua jenis pendugaan parameter … Pendugaan terhadap parameter populasi yang. Dari suatu sampel acak 500 keluarga yang memiliki tv disebuah kota kecil, ditemukan bahwa 340 memiliki tv berwarna. • selang kepercayaan = konfidensi interval = confidence interval didekati dengan distribusi normal (distribusi z atau distribusi t) Semakin besar interval duga semakin kecil selang kepercayaan semakin kecil interval duga semakin besar selang Asumsikan bahwa besarnya kredit mempunyai sebaran yang menghampiri normal dengan ragam … Pendugaan parameter berarti melakukan estimasi terhadap. Dengan interval ini, kita meyakini ada nilai parameter yang tidak diketahui dari suatu populasi. Selang penduga titik tidak selalu tepat menduga parameter populasi maka digunakan pendugaan dalam bentuk selang interval dalam setiap pendugaan mengandung peluang kesalahan penduga selang ! Selang penduga titik tidak selalu tepat menduga parameter populasi maka digunakan pendugaan dalam bentuk selang interval dalam setiap pendugaan mengandung peluang kesalahan penduga selang à konsep probability à selang kepercayaan (confidence interval) pendahuluan (4) 6 dua jenis pendugaan parameter …
Pendugaan Parameter Selang Kepercayaan. Selang penduga titik tidak selalu tepat menduga parameter populasi maka digunakan pendugaan dalam bentuk selang interval dalam setiap pendugaan mengandung peluang kesalahan penduga selang à konsep probability à selang kepercayaan (confidence interval) pendahuluan (4) 6 dua jenis pendugaan parameter … 02/05/2013 · • pendugaan parameter diwujudkan dalam pembentukan selang kepercayaan, karena hampir tidak pernah ditemukan nilai statistik tepat sama dengan nilai parameter. Asumsikan bahwa besarnya kredit mempunyai sebaran yang menghampiri normal dengan ragam … Semakin besar interval duga semakin kecil selang kepercayaan semakin kecil interval duga semakin besar selang Dari suatu sampel acak 500 keluarga yang memiliki tv disebuah kota kecil, ditemukan bahwa 340 memiliki tv berwarna.


